Welcome to the Lattice Boltzmann Research Group
The Lattice Boltzmann Research Group (LBRG) is an interdisciplinary research group that aims to take advantage of novel mathematical modeling strategies and numerical methods to enable large-scale simulations and optimal control of fluid flows for applications in process engineering. The LBRG aims at a better fundamental understanding of suspensions in general and for the improvement of mechanical processes and medical treatments. In particular the LBRG designs and uses models, algorithms, and open source simulation tools such as OpenLB, always taking advantage of modern high performance computers for the simulation of, for example:
- Particulate fluid flows
-
Thermal flows
-
Turbulent flows
-
Material transport and chemical reactive flows
-
Light transport
-
Fluid-structure interaction
-
Flows in porous media and complex geometries
The LBRG’s teaching and education concept is project- and research-oriented, offering for example basic programming courses, lectures on parallel computing, software tutorials, and advanced seminars on particular fluid flow simulations as well as optimal control theory.
Read more:
Latest News

We are excited to announce the publication on in vivo blood estimation by Shota Ito, Moritz Vogel, Adrian A. Fessler, Adrian Kummerländer, Anna Lischke, Dietmar Gradl, Ferdinand le Noble, Mathias J. Krause and Stephan Simonis.
This paper is motivated by the ongoing challenge of assessing in vivo blood viscosity, as most existing methods rely on simplified flow descriptions and have rarely been applied to real data. This limits bedside monitoring, cardiovascular risk stratification and the parametrization of patient-specific computational hemodynamic models.
The concept of this paper is based on the developement of non-invasive framework (combining microvascular particle image velocimetry (micro-PIV) with computational fluid dynamics (CFD) to estimate the effective blood viscosity in vivo) and the usage of time-averaged velocity fields, which are reconstructed from high-speed microscopic image sequences of blood flow and are incorporated into an inverse formulation of the incompressible Navier-Stokes equations for an either Newtonian or non-Newtonian fluid and solved using full CFD simulations.
As proof of this concept, the framework is applied to in vivo microcirculatory data obtained from zebrafish embryos, yielding effective viscosity estimates consistent with values reported in the literature. It hereby establishes an image-based, physics-constrained framework for blood rheology and provides a tool to improve parametrization and validation of computational hemodynamics models.
The paper is published open access in the journal Computer Methods in Applied Mechanics and Engineering and is freely available at https://doi.org/10.1016/j.cma.2026.118927 .

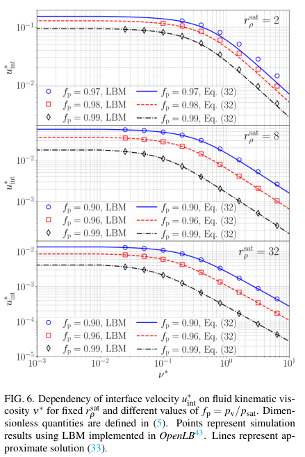
We are excited to announce the publication of our latest research on liquid-vapor phase transitions by Luiz Eduardo Czelusniak, Tim Niklas Bingert, Stephan Simonis, Alexander Wagner and Mathias J. Krause. This study is motivated by the need for deeper physical insights into evaporation phenomena, which are critical for engineering applications ranging from food drying to fuel injection systems in combustion engines.
Key Findings:
- Novel Viscosity Relationship: Our model unveils a previously unexplored dependence of evaporation rates on fluid viscosity, a behavior not captured by classical models.
- Diffuse Interface Approach: By using a diffuse interface model, we eliminate the need for common assumptions like local equilibrium or jump conditions at the interface.
- Exact and Approximate Solutions: We derived an exact analytical solution for the inviscid case and a highly accurate approximate solution for the viscid case.
- Numerical Validation: The analytical results show excellent agreement with high-resolution Lattice Boltzmann Method (LBM) simulations performed using the open-source library OpenLB.
The article is published in the journal Physical Review E (Open Access) and is freely available at https://doi.org/10.1103/4dl9-1x8s .
_rdax_1024x768_98s.jpg)
Earlier this month, four members of our group spent an intensive week in March at the HLRS - Höchstleistungsrechenzentrum Stuttgart in Stuttgart participating in the intermediate C++ Course taught by Klaus Iglberger.
Beyond a deep dive into advanced concepts of C++ and modern standards, it was a fantastic week of networking with fellow researchers from various fields. We’re returning to the lab not only with a more powerful programming toolkit, but also with fresh perspectives from the wider scientific computing community.
We had a great time learning more about advanced topics in C++, which we are now excited to apply in our daily work.
Many thanks to Klaus Iglberger and the HLRS - Höchstleistungsrechenzentrum Stuttgart for the great course!
